Mathematics-Physics-Biology-Chemistry-Programming

Jasper's Notes


  • 首页

  • 标签

  • 分类

  • 归档

  • 关于

  • 留言板

  • 搜索

第十一章 幂级数展开

发表于 2019-05-23 | 分类于 数学分析2 | 浏览 次
字数统计: 68

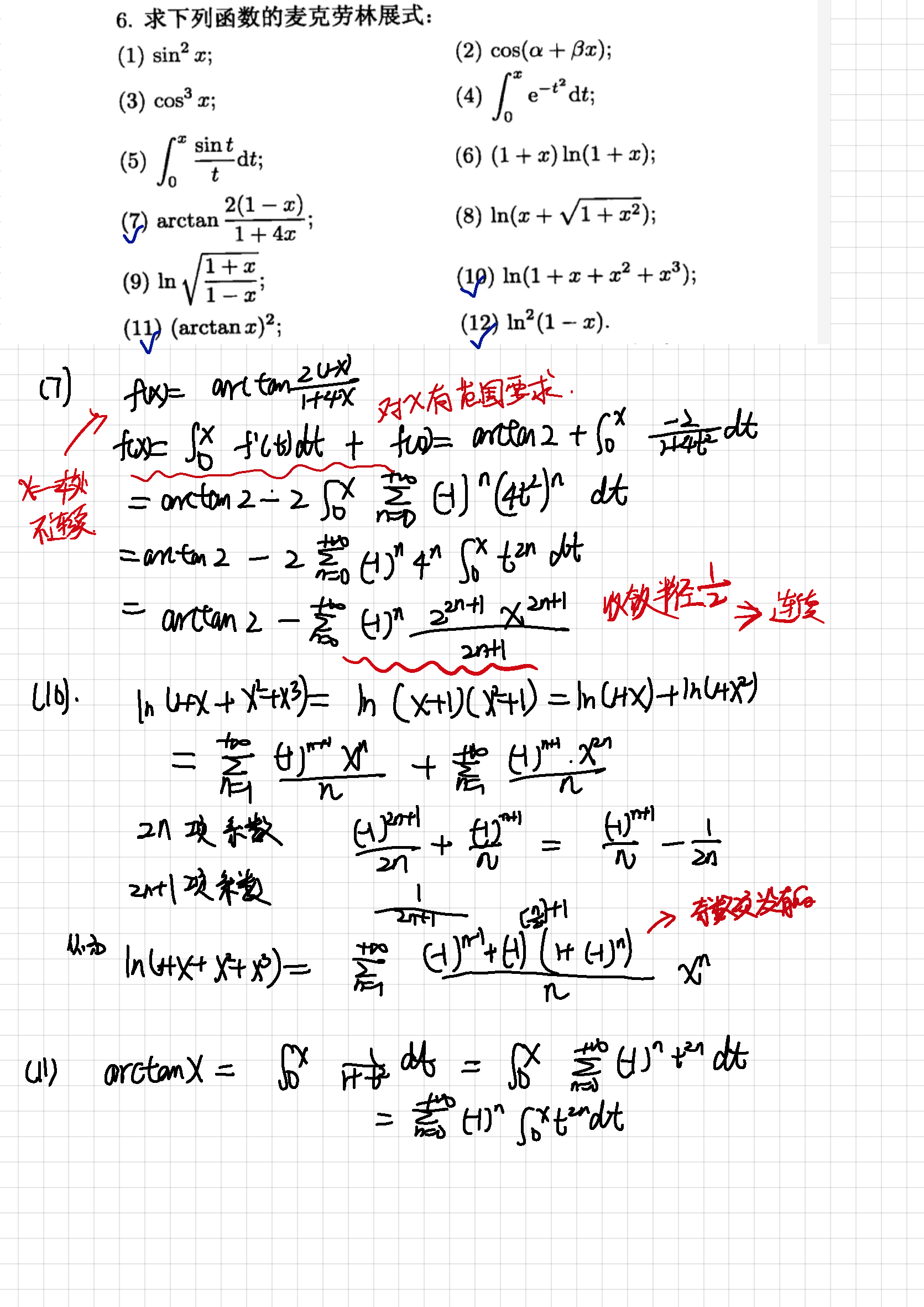
幂级数展开

  1. 导数容易展开的情况,例arcsin,arctan
  2. 基本函数组合而成的形式,例e^x, ln(1+x), sin(x), cos(x), (1+x)^a
  3. 乘积形式的——(ln(1-x))^2

可以参考裴礼文习题集对这个问题的总结!

2019年5月22日 幂级数展开_页面_1

2019年5月22日 幂级数展开_页面_2

2019年5月22日 幂级数展开_页面_3

2019年5月22日 幂级数展开_页面_4

2019年5月22日 幂级数展开_页面_5

2019年5月22日 幂级数展开_页面_6

2019年5月22日 幂级数展开_页面_7

# Taylor展开式
第十一章 幂级数收敛半径与收敛域
第十一章 连续函数的多项式逼近
  • 文章目录
  • 站点概览
Newbiejasper

Newbiejasper

数学,物理,化学,生物及编程

31 日志
3 分类
52 标签
GitHub E-Mail
  1. 1. 幂级数展开
    1. 1.1. 可以参考裴礼文习题集对这个问题的总结!
0%
© 2019 — 2020 Newbiejasper
本站访客数:
|
主题 — NexT.Gemini v5.1.4