Mathematics-Physics-Biology-Chemistry-Programming

Jasper's Notes


  • 首页

  • 标签

  • 分类

  • 归档

  • 关于

  • 留言板

  • 搜索

往年期中考试试题

发表于 2019-10-18 | 分类于 数学分析3 | 浏览 次
字数统计: 48

期中考试

  1. 开集,闭集与连续性的相关问题;
  2. 单变量连续与全变量连续;
  3. 凸函数的定义与性质;
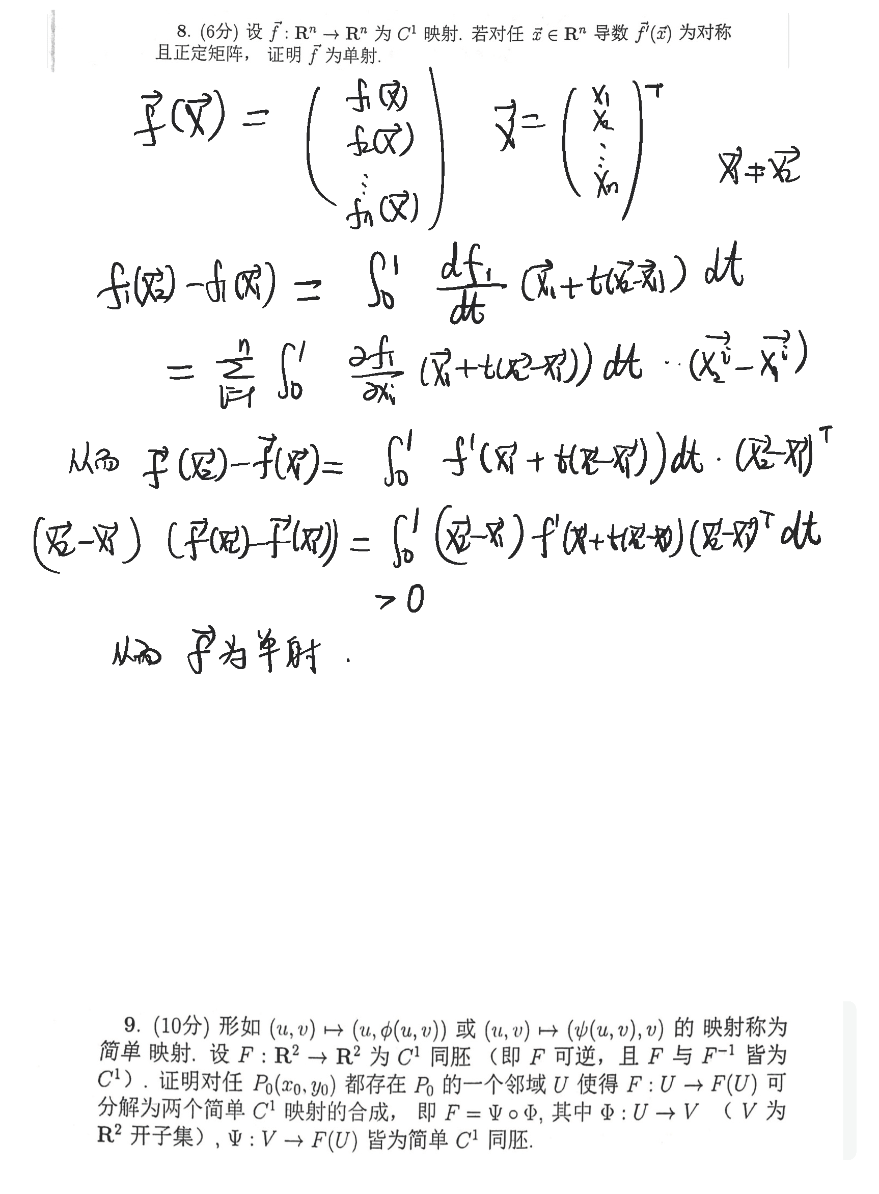
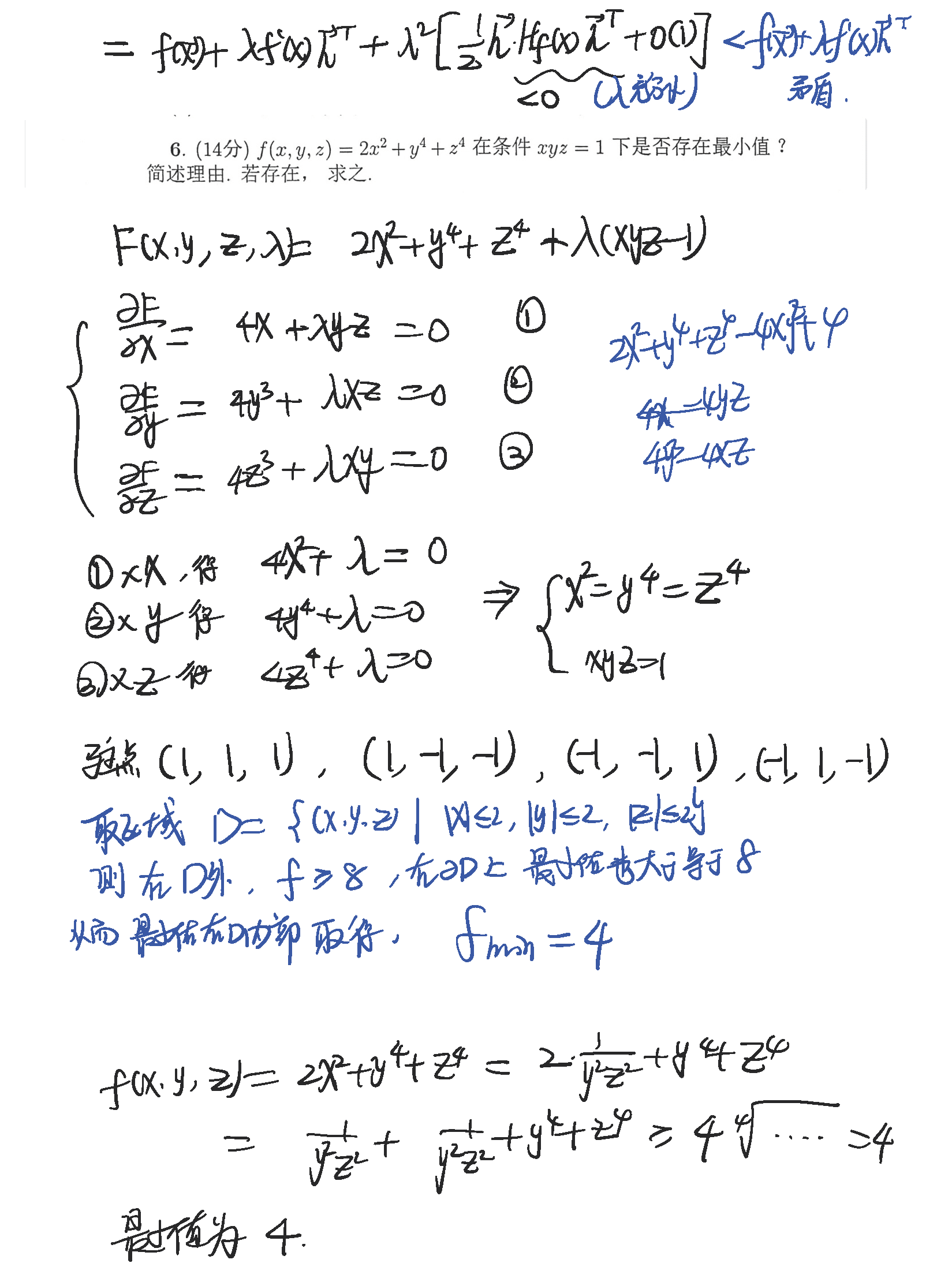
  4. 极值问题;
  5. 隐函数存在定理。

2018年11月12日 期中考试_页面_1

2018年11月12日 期中考试_页面_2

2018年11月12日 期中考试_页面_3

2018年11月12日 期中考试_页面_4

2018年11月12日 期中考试_页面_5

2018年11月12日 期中考试_页面_6

2018年11月12日 期中考试_页面_7

2018年11月12日 期中考试_页面_8

2018年11月12日 期中考试_页面_9

# 往年题
第十四章 多元微分学第一部分
第十四章5-6节部分.md
  • 文章目录
  • 站点概览
Newbiejasper

Newbiejasper

数学,物理,化学,生物及编程

31 日志
3 分类
52 标签
GitHub E-Mail
  1. 1. 期中考试
0%
© 2019 — 2020 Newbiejasper
本站访客数:
|
主题 — NexT.Gemini v5.1.4