Mathematics-Physics-Biology-Chemistry-Programming

Jasper's Notes


  • 首页

  • 标签

  • 分类

  • 归档

  • 关于

  • 留言板

  • 搜索

第十四章 多元微分学第一部分

发表于 2019-10-18 | 分类于 数学分析3 | 浏览 次
字数统计: 40

多元微分学

  1. 方向导数,偏导数,梯度,可微的定义;
  2. 可微与偏导数存在,连续之间的关系;
  3. 凸域中的问题;

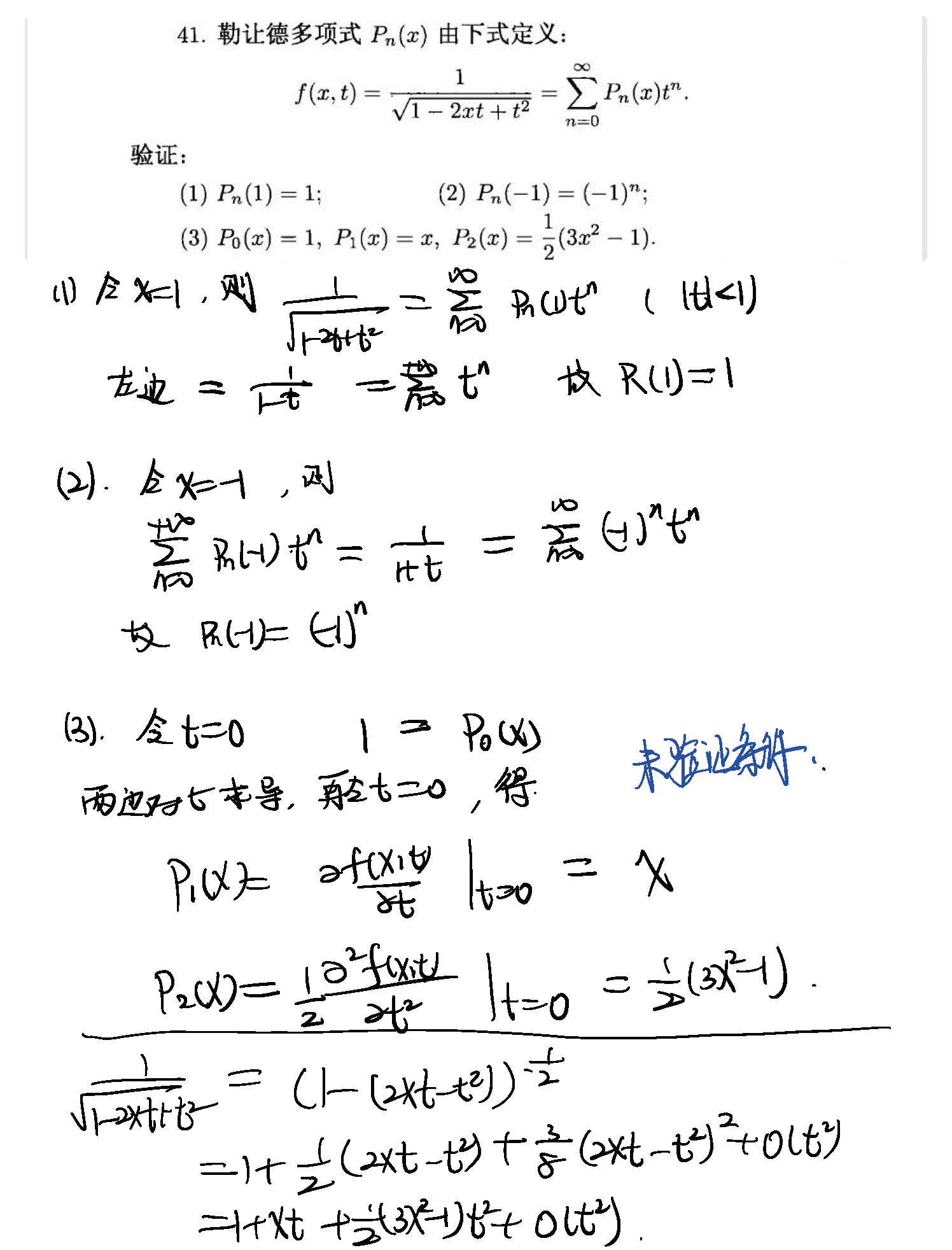
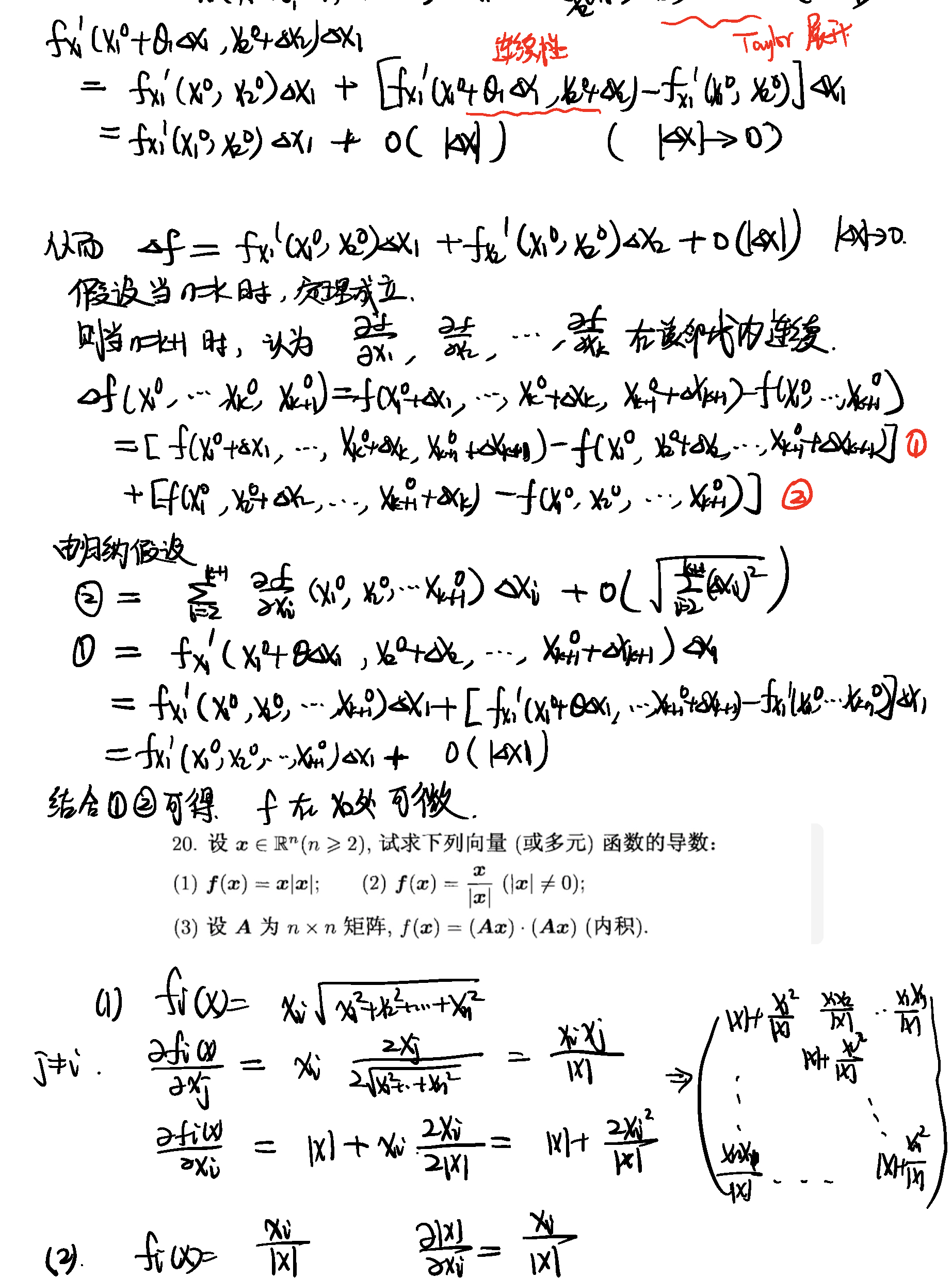
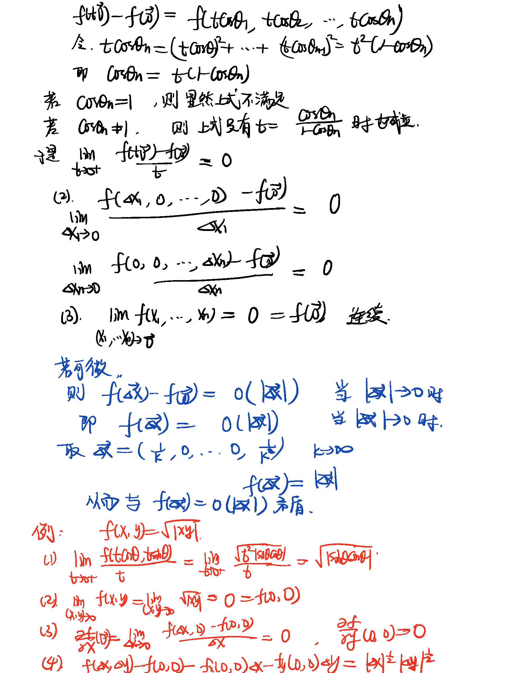
2019年10月18日 第十四章(1)_页面_01

2019年10月18日 第十四章(1)_页面_02

2019年10月18日 第十四章(1)_页面_03

2019年10月18日 第十四章(1)_页面_04

2019年10月18日 第十四章(1)_页面_05

2019年10月18日 第十四章(1)_页面_06

2019年10月18日 第十四章(1)_页面_07

2019年10月18日 第十四章(1)_页面_08

2019年10月18日 第十四章(1)_页面_09

2019年10月18日 第十四章(1)_页面_10

# 偏导数,方向导数,梯度,全微分
第十四章 多元微分学第二部分
往年期中考试试题
  • 文章目录
  • 站点概览
Newbiejasper

Newbiejasper

数学,物理,化学,生物及编程

31 日志
3 分类
52 标签
GitHub E-Mail
  1. 1. 多元微分学
0%
© 2019 — 2020 Newbiejasper
本站访客数:
|
主题 — NexT.Gemini v5.1.4