Mathematics-Physics-Biology-Chemistry-Programming

Jasper's Notes


  • 首页

  • 标签

  • 分类

  • 归档

  • 关于

  • 留言板

  • 搜索

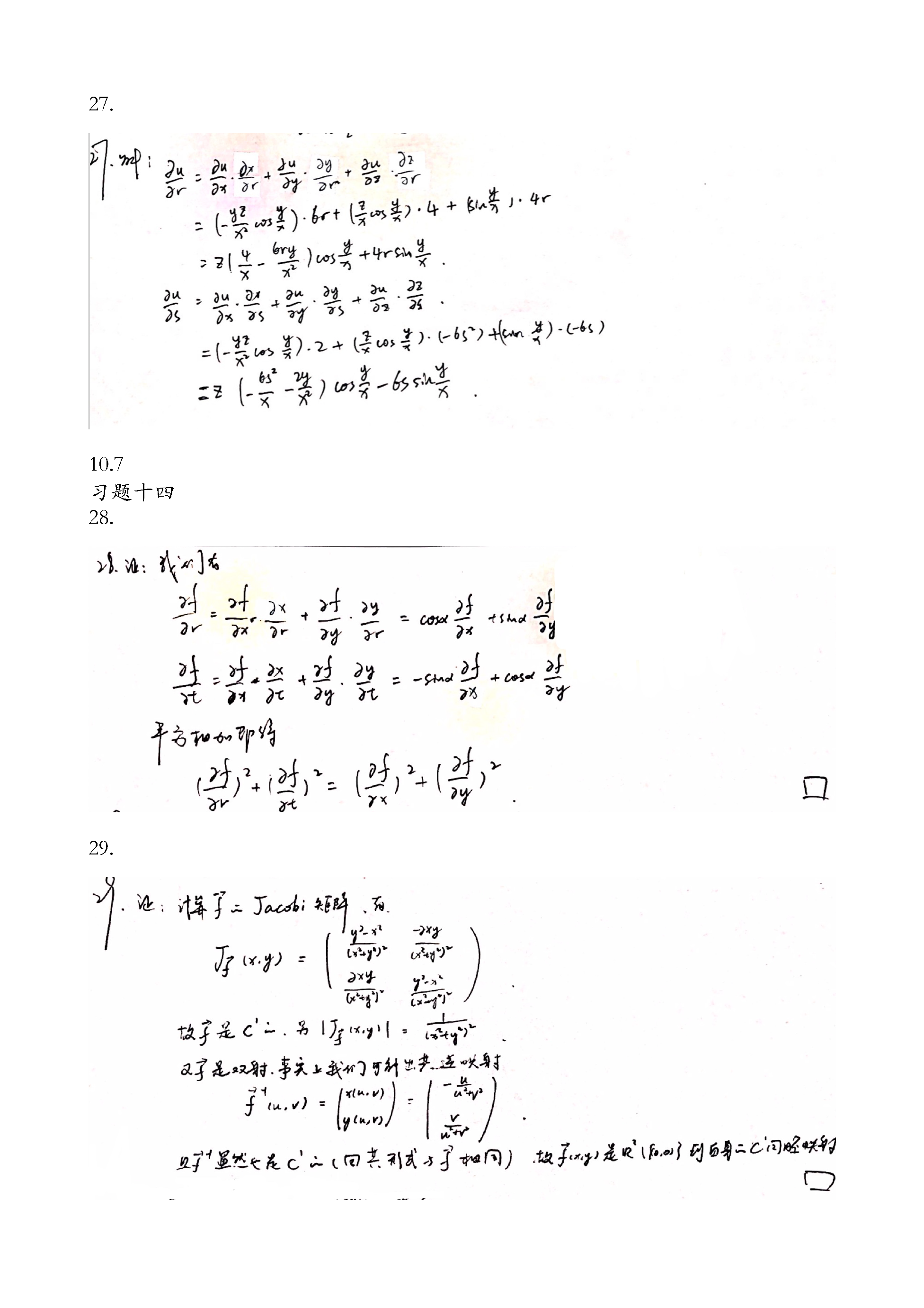
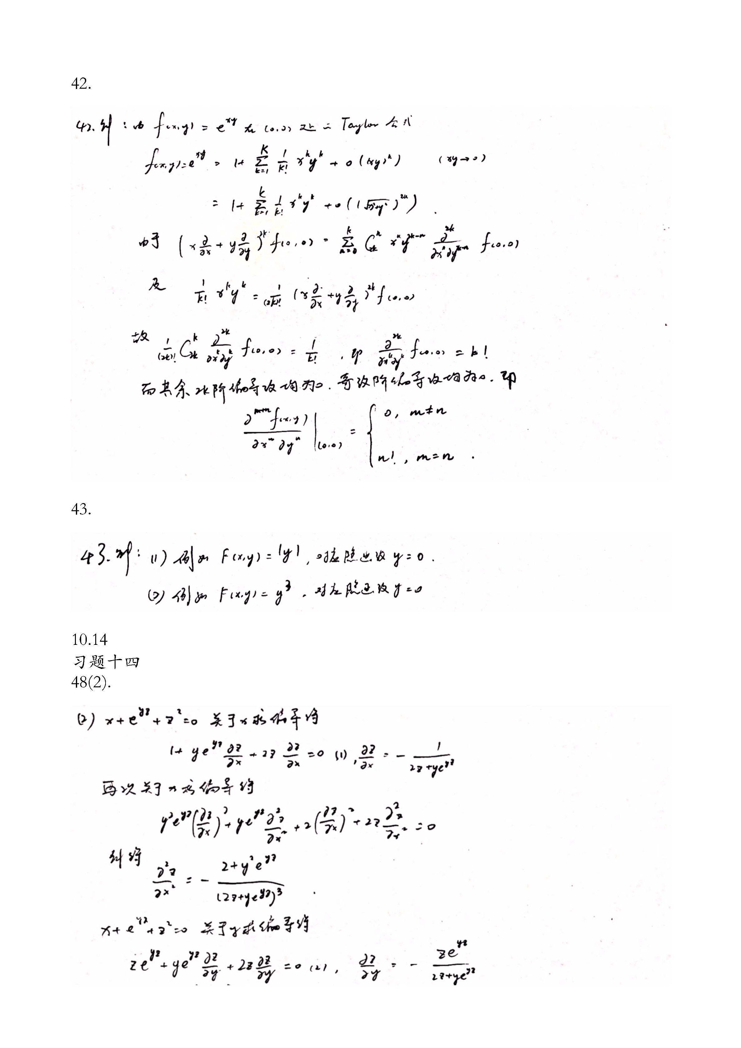
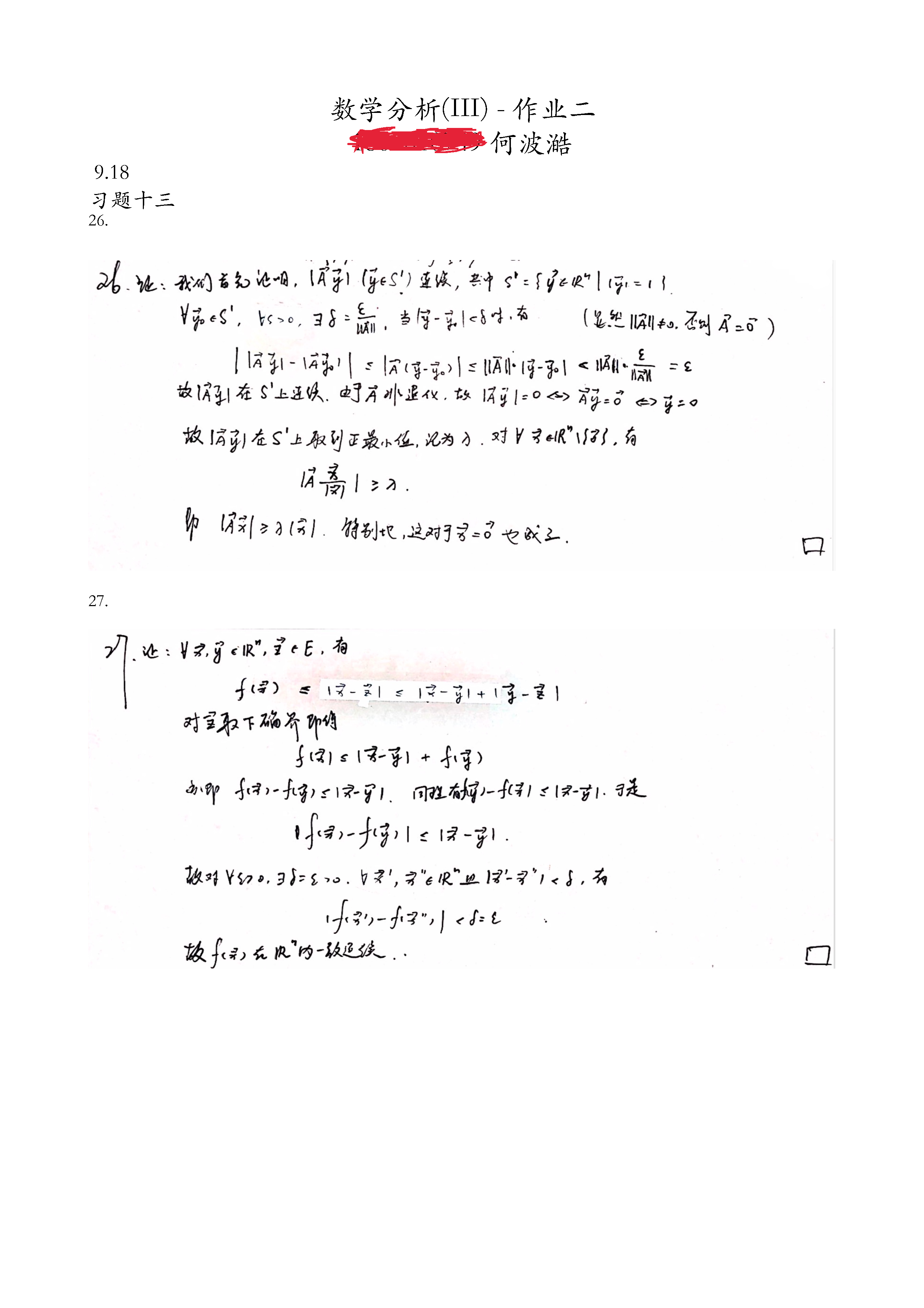
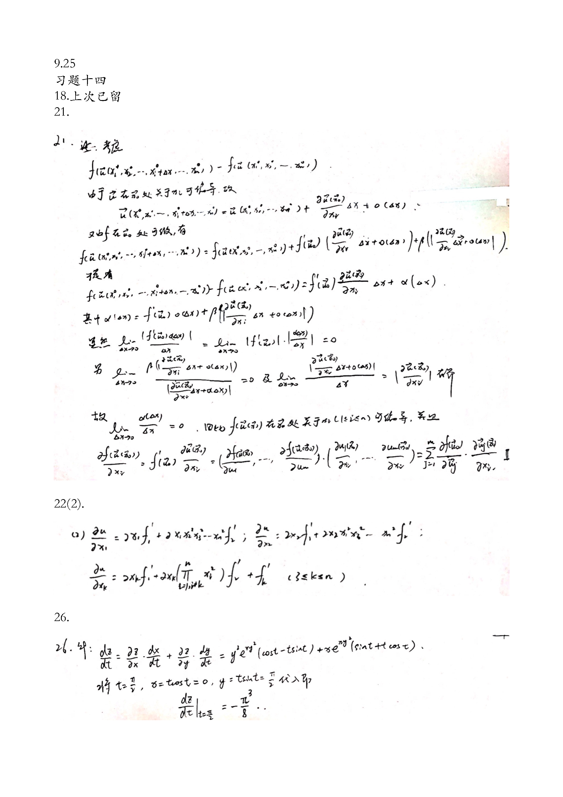
第二次作业解答

发表于 2019-10-31 | 分类于 数学分析3 | 浏览 次
字数统计: 10

感谢何波澔同学的作业

数学分析 第二次作业_页面_01

数学分析 第二次作业_页面_02

数学分析 第二次作业_页面_03

数学分析 第二次作业_页面_04

数学分析 第二次作业_页面_05

数学分析 第二次作业_页面_06

数学分析 第二次作业_页面_07

数学分析 第二次作业_页面_08

数学分析 第二次作业_页面_09

数学分析 第二次作业_页面_10

数学分析 第二次作业_页面_11

数学分析 第二次作业_页面_12

# 第二次作业
第十四章5-6节部分.md
第十五章 重积分
  • 文章目录
  • 站点概览
Newbiejasper

Newbiejasper

数学,物理,化学,生物及编程

31 日志
3 分类
52 标签
GitHub E-Mail
  1. 1. 感谢何波澔同学的作业
0%
© 2019 — 2020 Newbiejasper
本站访客数:
|
主题 — NexT.Gemini v5.1.4