Mathematics-Physics-Biology-Chemistry-Programming

Jasper's Notes


  • 首页

  • 标签

  • 分类

  • 归档

  • 关于

  • 留言板

  • 搜索

第十四章5-6节部分.md

发表于 2019-10-31 | 分类于 数学分析3 | 浏览 次
字数统计: 35

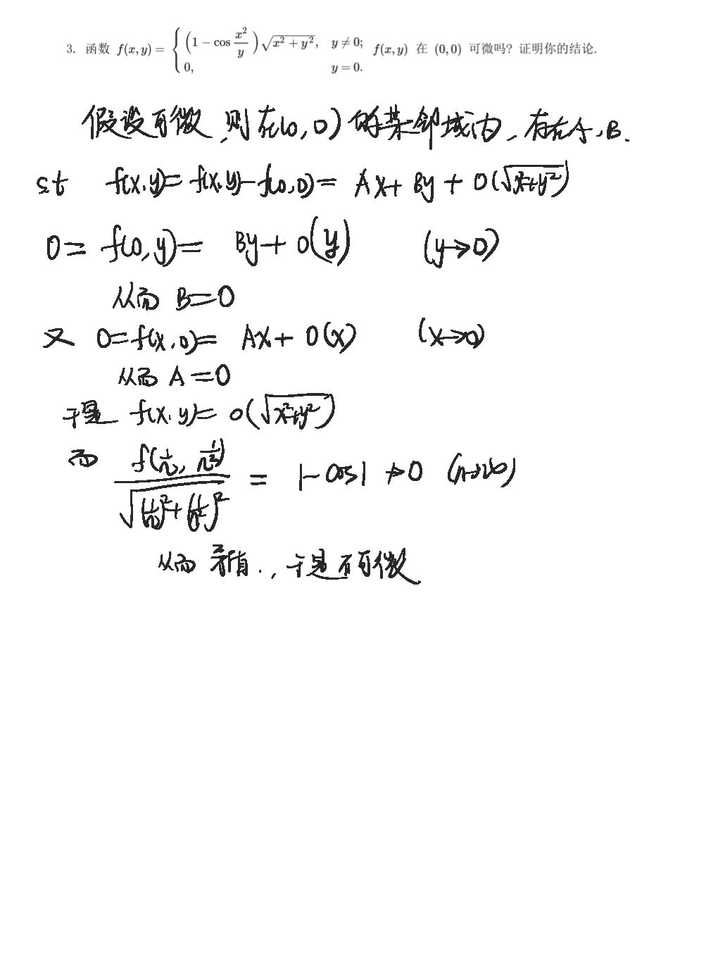
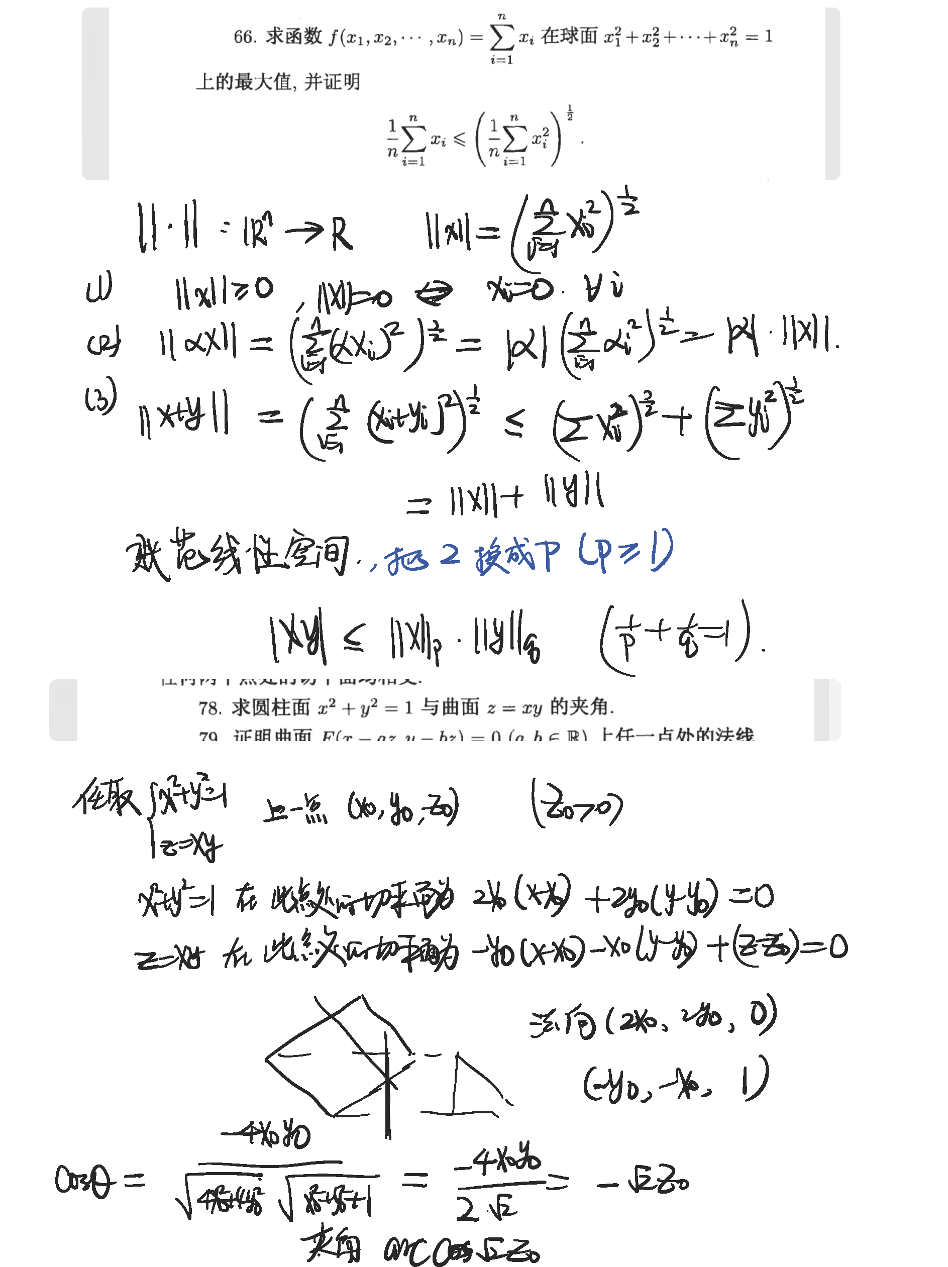
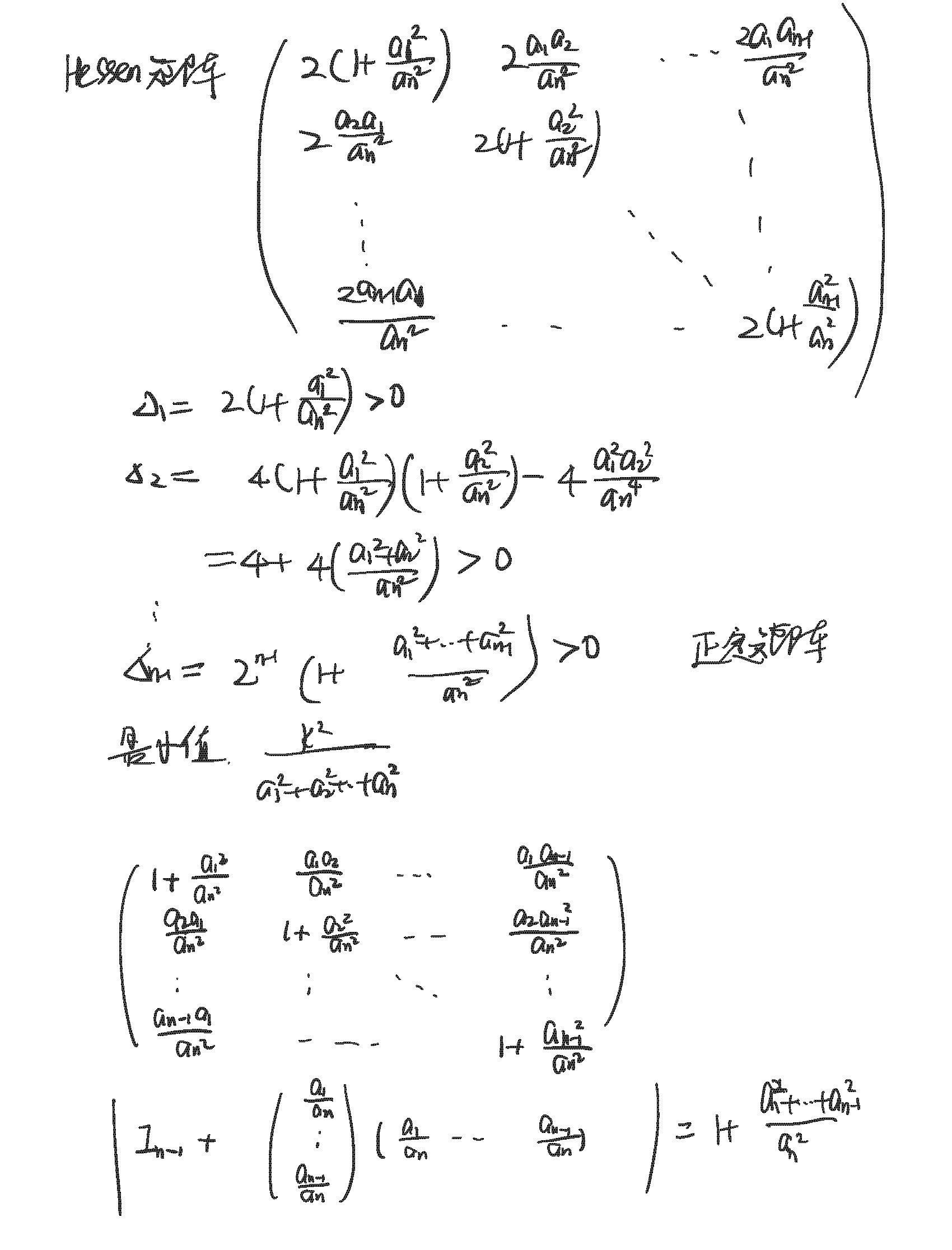
隐函数,极值与几何应用

  1. 隐函数存在定理,反函数存在定理;
  2. 极值与条件极值;
  3. 几何应用;

2018年11月6日 第十四章 (3)_页面_01

2018年11月6日 第十四章 (3)_页面_02

2018年11月6日 第十四章 (3)_页面_03

2018年11月6日 第十四章 (3)_页面_04

2018年11月6日 第十四章 (3)_页面_05

2018年11月6日 第十四章 (3)_页面_06

2018年11月6日 第十四章 (3)_页面_07

2018年11月6日 第十四章 (3)_页面_08

2018年11月6日 第十四章 (3)_页面_09

# 隐函数 # 极值 # 几何应用
往年期中考试试题
第二次作业解答
  • 文章目录
  • 站点概览
Newbiejasper

Newbiejasper

数学,物理,化学,生物及编程

31 日志
3 分类
52 标签
GitHub E-Mail
  1. 1. 隐函数,极值与几何应用
0%
© 2019 — 2020 Newbiejasper
本站访客数:
|
主题 — NexT.Gemini v5.1.4