Mathematics-Physics-Biology-Chemistry-Programming

Jasper's Notes


  • 首页

  • 标签

  • 分类

  • 归档

  • 关于

  • 留言板

  • 搜索

期中考试-伍

发表于 2019-11-17 | 分类于 数学分析3 | 浏览 次
字数统计: 4

期中试卷

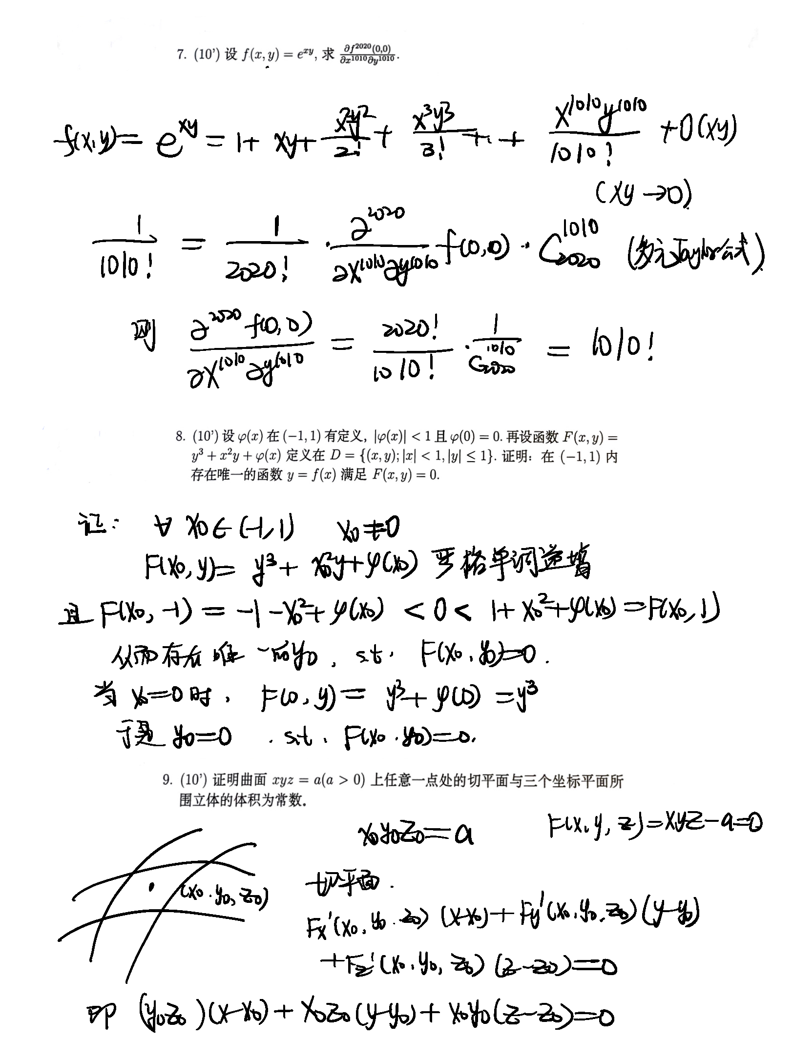
期中考试 伍_页面_1

期中考试 伍_页面_2

期中考试 伍_页面_3

期中考试 伍_页面_4

期中考试 伍_页面_5

# 2019 # wu # 期中考试
第十五章 重积分
常见积分区域的三维图形
  • 文章目录
  • 站点概览
Newbiejasper

Newbiejasper

数学,物理,化学,生物及编程

31 日志
3 分类
52 标签
GitHub E-Mail
  1. 1. 期中试卷
0%
© 2019 — 2020 Newbiejasper
本站访客数:
|
主题 — NexT.Gemini v5.1.4