Mathematics-Physics-Biology-Chemistry-Programming
Jasper's Notes
首页
标签
分类
归档
关于
留言板
搜索
第十七章 含参变量积分
发表于
2019-12-26
|
分类于
数学分析3
|
浏览
次
字数统计:
33
含参变量积分
换序的条件;
一致收敛性判断;
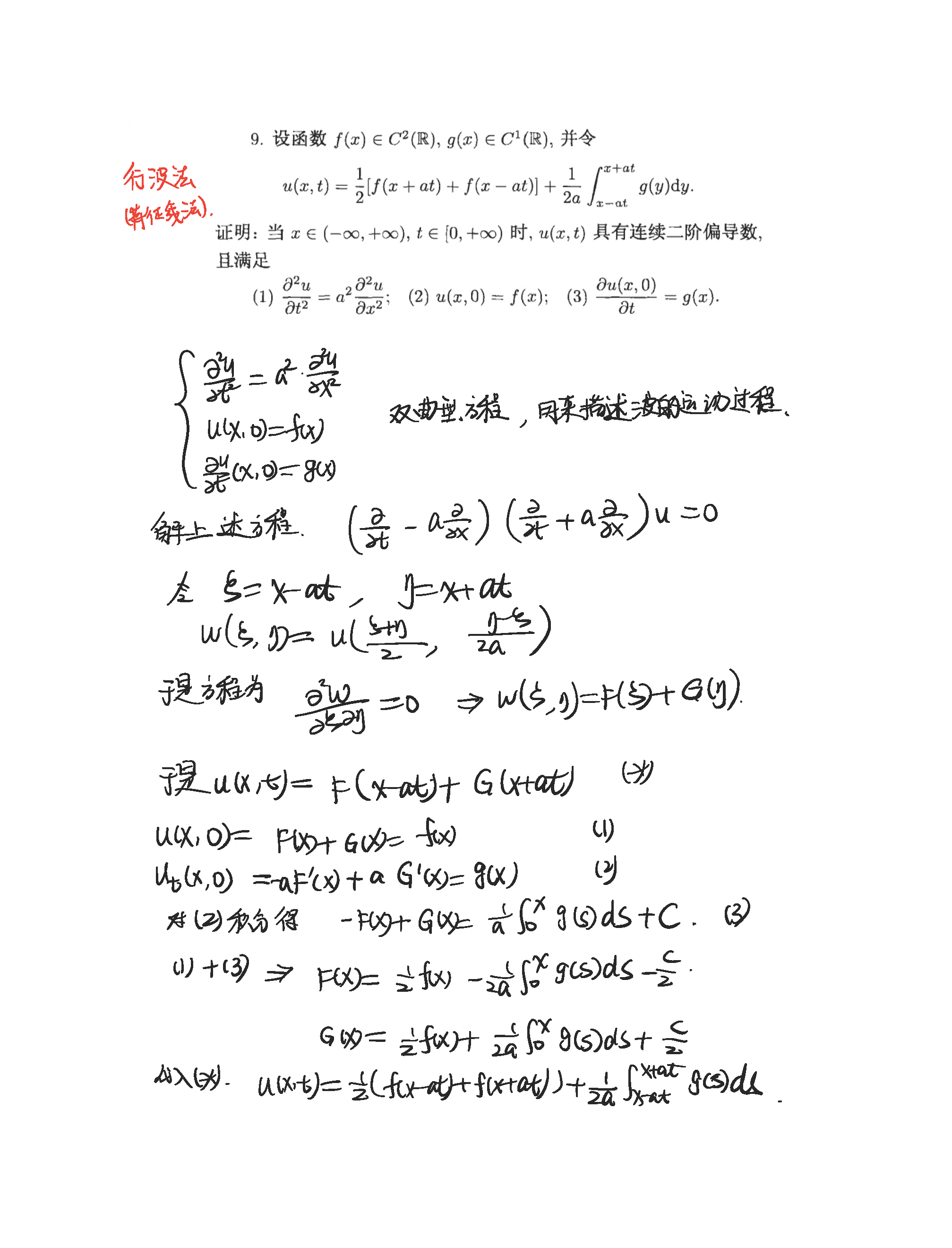
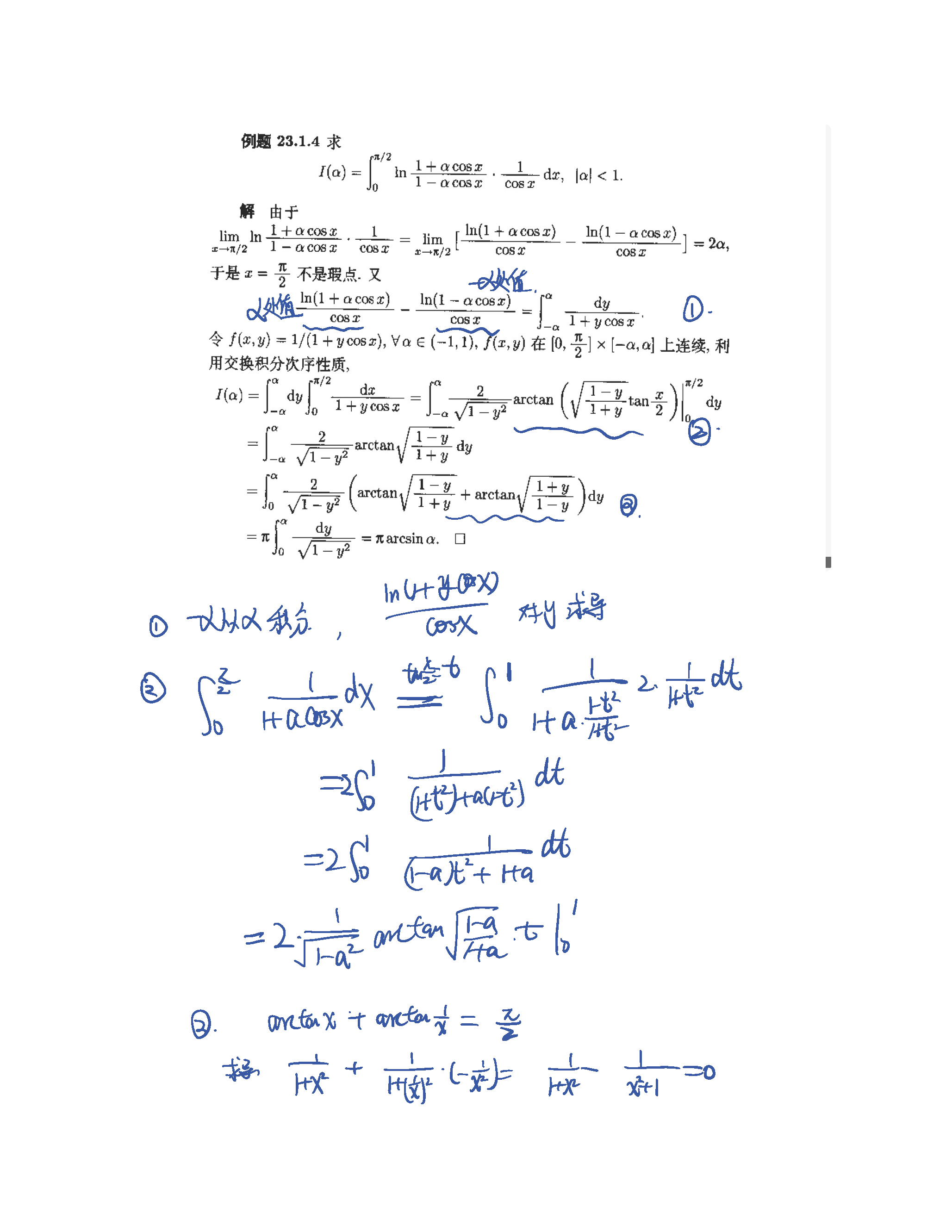
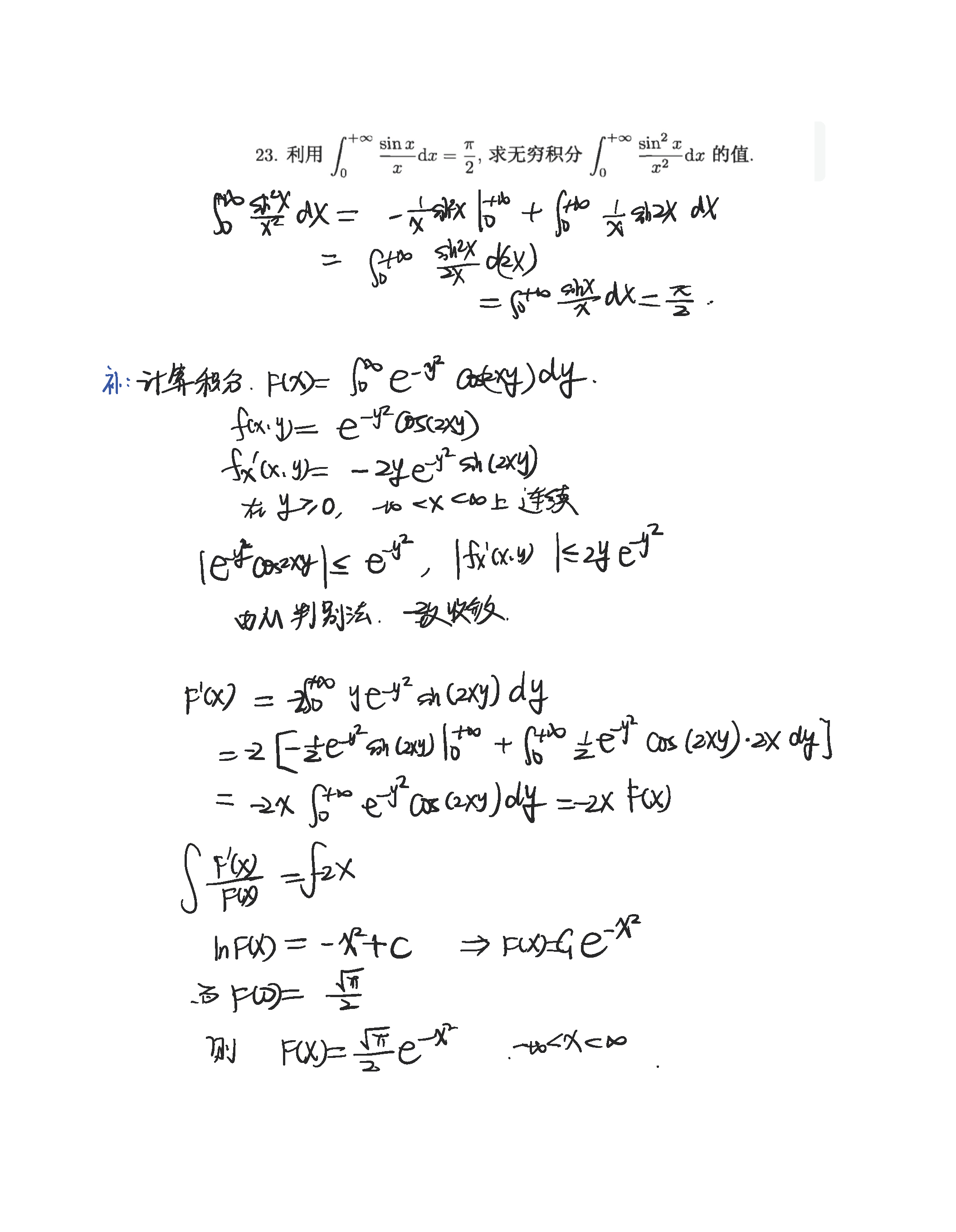
三种常见的求含参变量积分的方式。